Skip to content Skip to sidebar Skip to footer

How To Find The Length Of A Line Segment On A Coordinate Plane - Find the length of a line segment on the coordinate plane using the pythagorean theorem from learnzillion created by sarah peterson standards

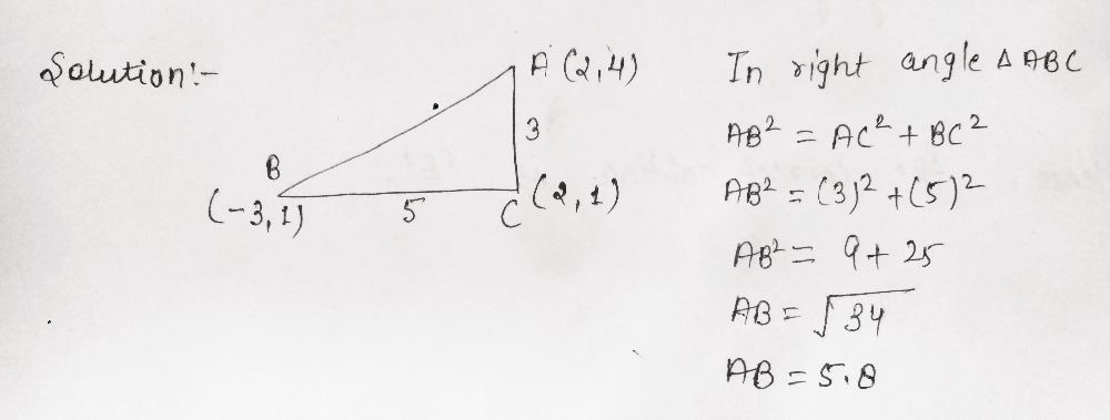
How To Find The Length Of A Line Segment On A Coordinate Plane - Find the length of a line segment on the coordinate plane using the pythagorean theorem from learnzillion created by sarah peterson standards. Watch this video to learn how to find the lengths of lines on a coordinate plane. See full list on wikihow.com How to find the length of a line segment using the coordinates of the endpoints. Jan 05, 2019 · to use the distance formula to find the length of a line, start by finding the coordinates of the line segment's endpoints. See full list on wikihow.com

Find the length of a line segment on the coordinate plane using the pythagorean theorem from learnzillion created by sarah peterson standards Work out the midpoint's coordinates before using the check boxes to reveal the answer. When do you need to know the coordinates of a segment? Once you've done that, just add the numbers that are under the radical sign and solve for d. Next, subtract the numbers in parenthesis and then square the differences.

Introduction To Coordinate Geometry
Introduction To Coordinate Geometry from www.amsi.org.au
How to find the length of a line segment using the coordinates of the endpoints. Work out the midpoint's coordinates before using the check boxes to reveal the answer. Tutorial on finding the length of a line both visually, logically using a diagram, and with the formula.visit mathormaths.com for more like this!this tutoria. Next, subtract the numbers in parenthesis and then square the differences. How to find the length of a line using coordinates? Then, plug the coordinates into the distance formula. Drag the points a and b to the desired coordinates. How to calculate the length of a line segment?

Calculate the length of line segment ab before using the check boxes to reveal the answers.

How to find the length of a line segment given two points. Then, plug the coordinates into the distance formula. How to calculate the length of a line segment? See full list on wikihow.com Watch this video to learn how to find the lengths of lines on a coordinate plane. Once you've done that, just add the numbers that are under the radical sign and solve for d. Find the length of a line segment on the coordinate plane using the pythagorean theorem from learnzillion created by sarah peterson standards See full list on wikihow.com Tutorial on finding the length of a line both visually, logically using a diagram, and with the formula.visit mathormaths.com for more like this!this tutoria. When do you need to know the coordinates of a segment? Jan 05, 2019 · to use the distance formula to find the length of a line, start by finding the coordinates of the line segment's endpoints. Work out the midpoint's coordinates before using the check boxes to reveal the answer. Next, subtract the numbers in parenthesis and then square the differences.

See full list on wikihow.com Jan 05, 2019 · to use the distance formula to find the length of a line, start by finding the coordinates of the line segment's endpoints. Tutorial on finding the length of a line both visually, logically using a diagram, and with the formula.visit mathormaths.com for more like this!this tutoria. How to find the length of a line segment using the coordinates of the endpoints. Once you've done that, just add the numbers that are under the radical sign and solve for d.

Directed Line Segment An Overview Sciencedirect Topics
Directed Line Segment An Overview Sciencedirect Topics from ars.els-cdn.com
Watch this video to learn how to find the lengths of lines on a coordinate plane. Drag the points a and b to the desired coordinates. How to calculate the length of a line segment? Work out the midpoint's coordinates before using the check boxes to reveal the answer. Calculate the length of line segment ab before using the check boxes to reveal the answers. How to find the length of a line using coordinates? Jan 05, 2019 · to use the distance formula to find the length of a line, start by finding the coordinates of the line segment's endpoints. Once you've done that, just add the numbers that are under the radical sign and solve for d.

Next, subtract the numbers in parenthesis and then square the differences.

How to find the length of a line segment given two points. Watch this video to learn how to find the lengths of lines on a coordinate plane. Jan 05, 2019 · to use the distance formula to find the length of a line, start by finding the coordinates of the line segment's endpoints. Next, subtract the numbers in parenthesis and then square the differences. How to calculate the length of a line segment? Once you've done that, just add the numbers that are under the radical sign and solve for d. How to find the length of a line using coordinates? See full list on wikihow.com How to find the distance between two points on a line? Find the length of a line segment on the coordinate plane using the pythagorean theorem from learnzillion created by sarah peterson standards Calculate the length of line segment ab before using the check boxes to reveal the answers. How to find the length of a line segment using the coordinates of the endpoints. Drag the points a and b to the desired coordinates.

When do you need to know the coordinates of a segment? How to find the length of a line segment using the coordinates of the endpoints. Then, plug the coordinates into the distance formula. How to find the length of a line segment given two points. Drag the points a and b to the desired coordinates.

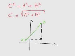
Finding Distance With Pythagorean Theorem Video Khan Academy
Finding Distance With Pythagorean Theorem Video Khan Academy from img.youtube.com
Watch this video to learn how to find the lengths of lines on a coordinate plane. How to find the distance between two points on a line? Jan 05, 2019 · to use the distance formula to find the length of a line, start by finding the coordinates of the line segment's endpoints. How to find the length of a line segment using the coordinates of the endpoints. How to find the length of a line segment given two points. How to calculate the length of a line segment? Calculate the length of line segment ab before using the check boxes to reveal the answers. Then, plug the coordinates into the distance formula.

See full list on wikihow.com

Tutorial on finding the length of a line both visually, logically using a diagram, and with the formula.visit mathormaths.com for more like this!this tutoria. Work out the midpoint's coordinates before using the check boxes to reveal the answer. How to calculate the length of a line segment? Watch this video to learn how to find the lengths of lines on a coordinate plane. Drag the points a and b to the desired coordinates. See full list on wikihow.com Calculate the length of line segment ab before using the check boxes to reveal the answers. Once you've done that, just add the numbers that are under the radical sign and solve for d. Next, subtract the numbers in parenthesis and then square the differences. How to find the length of a line segment using the coordinates of the endpoints. How to find the length of a line segment given two points. When do you need to know the coordinates of a segment? How to find the distance between two points on a line?

How to find the length of a line using coordinates? how to find the length of a line segment. How to find the length of a line segment using the coordinates of the endpoints.